
JL-8C系列静态反时限过流继电器使用说明书
概述
JL系列静态反时限过流继电器(以下简称继电器),该继电器应用于电机变压器等设备以及输配电系统的继电保护回路中,尤其使用于无直流设备的厂站,当主设备或输配电系统出现过负荷和短路故障时,该继电器能按预定的时限可靠动作,切除故障部分,同时满足了电力部压缩时间级差反措要求,该继电器具有以下特点:
1、无需直流辅助电源;
2、完全采用拨盘开关进行整定,方便直观;
3、具有很强的抗干扰能力;
4、不存在电磁型过流继电器的机械部分发卡现象;
5、可方便替代GL-11、GL-12、GL-15电磁型过流继电器,还可以替代过去DL-10、DL-20、DL-30系列电流继电器。
主要技术参数
1、过流动作值整定范围(启动电流) :0.1-9.9A,级差为0.1A;
2、速断电流倍数: 2-9.9倍,级差为0.1倍:
3、延时时间整定范围(K值整定) :0.1-9.9,级差为0.01;
4、触点容量: B代表大触点容最触点,AC250V,可长期接通10A;x代表信号触点,AC250V,可长期接通1A。
5、功耗: 当电流为额定值时,维电器功率消耗不大于5W。
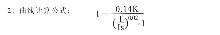
三、反时限延时特性表及曲线计算方式
1、反时限典型延时特性表(S)
【表】
【图】
t为反时限动作时间,K为延时曲线系数,Is整定电流,I为实际输入电流。当I>Is时,继电器开始延时。
四、端子接线及整定范围
1、JL-8CG/11端子接线图(正视图)
【】
2、整定方法
继电器面板上共设有三组拨码开关,分别为过电流动作值、电流、速断倍数和过流动作延时时间值(K值)。例如: 过电流整定值为“7.5”,速断倍数置于“3.0”,K值整定为“0.50”,若实际线路电流>22.5A,则速断,若实际线路电流为15A,则过电流动作时间为5S。具体过流时间可参考延时特性表及曲线计算公式。


